PCB Prototype the Easy Way
Full feature custom PCB prototype service.
9:00 - 18:00, Mon.- Fri. (GMT+8)
9:00 - 12:00, Sat. (GMT+8)
(Except Chinese public holidays)
Welcome to Mindtek









Microstrip
Embedded Microstrip
Edge Coupled Microstrip
Stripline
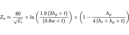
Asymmetric Stripline
Broadside Coupled Stripline
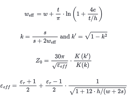
Edge Coupled Stripline
Coplanar Waveguide
SEMNIC PCB Prototype the Easy Way!